日別アーカイブ: 2026年3月21日

自転車の試運転

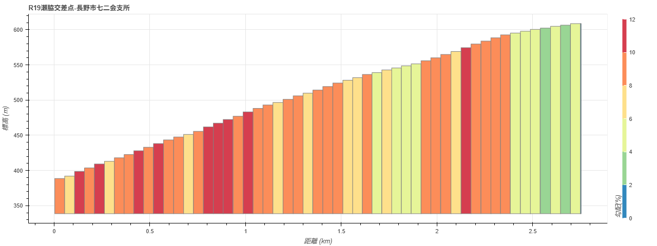
日中の気温も10℃を超える日が増えてきたので多少坂のあるエリアに足を延ばしてみました。今回は長野市の西部にある七二会支所までの坂を登ってみました。

支所のある場所の標高は約600m、登り口の国道19号の交差点は400m弱なので200mほどの高低差があります。距離は2.5kmほどなので全体的に勾配は厳しめです。

50mごとに勾配の分布をとってみると最初の1/3くらいは10%以上の区間が多くて体感通りの厳しさに感じます。

ぎっくり腰もあったので高負荷な運転の試験もかねての試運転となりましたが、特段問題も発生しなかったので良かったと思います。

新しいシューズは使用感がよく、とてもいい買い物だったと思います。RP5比でソールの剛性感が高くなっており、力を込めたときにちゃんと力が伝わる感じがするのが好ましく感じました。